Materi Matematika Kelas 4 Semester 1 Operasi Hitung Bilangan

Watch & download materi matematika kelas 4 semester 1 operasi hitung bilangan MP4 and MP3 now. You can download free mp3 or MP4 as a separate song, or as video and download a music collection from any artist, which of course will save you a lot of time.

Operasi Hitung Bilangan Bulat

Matematika kelas 5 materi ini mulai diajarkan kepada siswa-i dengan kurikulum 2013 masukan saran dan pertanyaan mengenai di atas, bisa ke kolo...

Play Download

Matematika 4 Sd Taksiran Penjumlahan Pecahan Pengurangan Perkalian Dan Pembagian

#pecahan #taksiranpecahan #penaksiran materi matematika kelas 4 sd pada video ini adalah penjelasan bab pecahan dan pokok bahasannya penaksiran a...

Play Download

Cara Mudah Menghitung Operasi Hitung Campuran Materi Matematika Kelas 4

Play Download

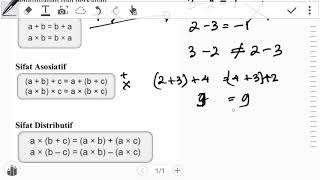
Sifat Operasi Hitung Komutatif Asosiatif Distributif Matematika Kelas 4 Sd

Video belajar lainnya https://www./playlist?list=plnye6uj1u6t8ehwrb3kjc07grq1jqurt8 aqila daring bimbel ------------------------------------------...

Play Download

Tutorial Menyelesaikan Dan Melakukan Operasi Hitung Campuran Bilangan Bulat

Dalam melakukan dan menylsaikan operasi hitung campuran bilangan bulat, perhatikan urutan pengerjaanya berikut. 1. pengerjaan kurung 2. perkali...

Play Download

Taksiran Hasil Operasi Hitung Perkalian Dan Pembagian Matematika Kelas 4

7:05

Play Download

Dalam melakukan dan menylsaikan operasi hitung campuran bilangan bulat, perhatikan urutan pengerjaanya berikut.

Di masa pandemi #covid19 tim100 mendukung program pemerintah #belajardarirumah bilangan cacah diketahui istilah nama bilangan, lambang nilai tem. Matematika kelas 5 materi ini mulai diajarkan kepada siswai dengan kurikulum 2013 masukan saran dan pertanyaan mengenai di atas, bisa ke kolo. #membandingkanbilanganbulat #kelas6 #latihanberkarya selamat datang bapak, ibu maupun kakakkakak dimanapun anda berada, untuk mengajari anakanak tentang pe.

Matematika kelas 5 materi ini mulai diajarkan kepada siswa-i dengan
kurikulum 2013 masukan saran dan pertanyaan mengenai di atas, bisa ke
kolo...
Video belajar lainnya
https://www./playlist?list=plnye6uj1u6t8ehwrb3kjc07grq1jqurt8 aqila
daring bimbel ------------------------------------------...
Matematika kelas 6 menit 04:40 dikurang ya masukan saran dan
pertanyaan mengenai materi di atas, bisa ke kolom komentar atau wa
kami 0812 5466 2519. faceb...
Operasi Hitung Campuran Bilangan Bulat

Matematika kelas 6 menit 04:40 dikurang ya masukan saran dan pertanyaan mengenai materi di atas, bisa ke kolom komentar atau wa kami 0812 5466 2519. faceb...

Play Download

Kelas 4 Bilangan Cacah Materi Sub Bab Mengenal 1

Di masa pandemi #covid19 tim100 mendukung program pemerintah #belajardarirumah bilangan cacah diketahui istilah nama bilangan, lambang nilai tem...

Play Download

Cara Mudah Membandingkan Bilangan Bulat Matematika Kelas 6 Sd Mi Semester 1 Kurikulum 13

#membandingkanbilanganbulat #kelas6 #latihanberkarya selamat datang bapak, ibu maupun kakak-kakak dimanapun anda berada, untuk mengajari anak-anak tentang pe...

Play Download

Soal Bilangan Bulat Perkalian Kelas 6

Soal bilangan bulat perkalian kelas 6 semester 1 sd kela...

Play Download

Soal bilangan bulat perkalian kelas 6 semester 1 sd kela. Matematika kelas 6 menit 0440 dikurang ya masukan saran dan pertanyaan mengenai materi di atas, bisa ke kolom komentar atau wa kami 0812 5466 2519. #pecahan #taksiranpecahan #penaksiran materi matematika kelas 4 sd pada video ini adalah penjelasan bab pecahan dan pokok bahasannya penaksiran a.

Video belajar lainnya https//www/playlistlist=plnye6uj1u6t8ehwrb3kjc07grq1jqurt8 aqila daring bimbel.

Advertisement

You Might Like

  1. Materi Matematika Kelas 4 Semester 1 Operasi Hitung Bilangan

More

Materi Matematika Kelas 4 Semester 1 Operasi Hitung Bilangan
close